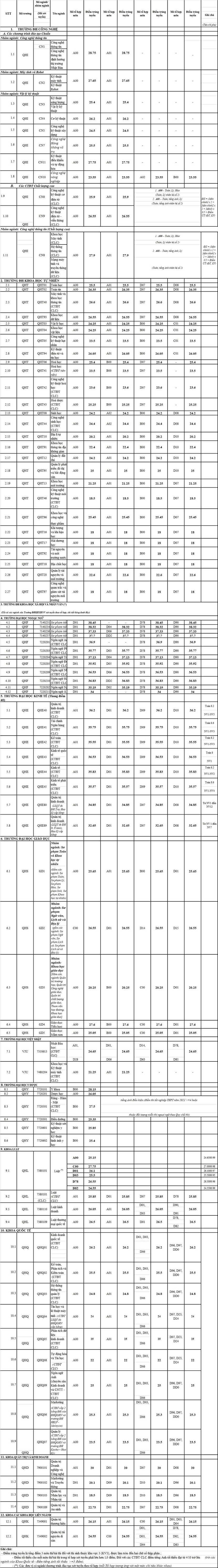
Từ chiều 15-9, nhiều trường ĐH đã bắt đầu công bố điểm chuẩn 2021 xét bằng kết quả thi tốt nghiệp THPT.
Điểm chuẩn ngành Hàn Quốc học của trường ĐH Khoa học Xã hội và Nhân Văn, ĐH Quốc gia Hà Nội tiếp tục giữ kỷ lục quán quân tổ hợp C00 (Văn, Sử, Địa) năm nay với điểm tuyệt đối 30/30.
Chi tiết điểm chuẩn các thành viên ĐHQGHN như sau:
![]() |
Điểm trúng tuyển của trường ĐH Khoa học Xã hội và nhân văn như sau:
![]() |

